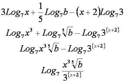
• Introduccin. En esta seccin resolvemos ejercicios del estudio de la continuidad de funciones. Para ello necesitamos determinar el dominio de las funciones (conjunto sobre el que se define la funcin, es decir, los valores que puede tomar la variable, x). El siguiente nivel es la bsqueda de extremos (mximos y mnimos) de funciones mediante clculo diferencial (criterios de las. CURSO BSICO DE MATEMTICAS PARA ESTUDIANTES DE ECONMICAS Y EMPRESARIALES Unidad didctica 1. Clculo operacional: fracciones, potencias, races y logaritmos Tabla de integrales, integrales inmediatas, frmulas de integracin de funciones simples y compuestas, ejemplos y ejercicios resueltos de cada tipo de integral. Scribd is the world's largest social reading and publishing site. El objetivo de esta obra del historiador y matemtico MORRIS KLINE es el de analizar con rigor la gnesis y evolucin de las ideas verdaderamente centrales del pensamiento matemtico, haciendo hincapi en aquellas que ms han contribuido al progreso de la ciencia. Las frmulas de la suma y la diferencia se muestran a continuacin y enseguida tenemos varios ejercicio que son tiles para practicar. Este apartado es el ms importante y es el que nos va a permitir jugar con los logaritmos en las ecuaciones y ejercicios. Aprende a resolver ejercicios de inters simple y de inters compuesto. Te enseo las frmulas que tienes que aplicar, con ejercicios resueltos paso a paso. Logaritmos: Propiedades y ejercicios resueltos Logaritmos definicin y ejemplos. Aplica las propiedades de los logaritmos para resolver los siguientes ejercicios Exponenciales y Logartmos 3 y k 2x Ejercicio 3: Las sustancias radiactivas se desintegran emitiendo radiaciones y transformndose en otras sustancias. Sustancia radiactiva radiaciones otra sustancia. Este proceso se realiza con el paso del tiempo y. Ejercicios resueltos calcular el logaritmo. Aplicamos la definicin de logaritmo, identificamos la base a, el nmero N y el logaritmo c. Nos aparecen ecuaciones exponenciales, cuando tienen la misma base igualamos los exponentes. Utiliza la definicin y las propiedades de los logaritmos para: a) Reducir a un solo logaritmo y calcular: log 40 log 25 b) Calcular log 8 sabiendo que log 2 0, 301. Hola Wilfredo, gracias por las felicitaciones, nos hacen mucha ilusin. El valor de 1014 es en realidad un parmetro determinado experimentalmente por medidas de conductividad, por lo que realmente debes saberlo o tenerlo anotado en algn sitio para poder usarlo en los ejercicios. Explicacin: Se llaman progresiones aritmticas a aquellas sucesiones de nmeros en las que cada trmino se va obteniendo sumando una cantidad fija al anterior. ejercicios resueltos de matematicas, ejercicios resueltos de matemticas, resuletos, apuntes, ejercicios, exmenes, formularios, etc. Seleccin de ejercicios de refuerzo de los temas ms importantes de los cursos de Educacin Secundaria Obligatoria (ESO). Estamos actualizando y aadiendo contenido, Si necesitas algn otro tema djalo en comentarios y lo tendremos en cuenta, gracias. CLCULO DIFERENCIAL E INTEGRAL DE FUNCIONES DE UNA VARIABLE Francisco Javier Prez Gonzlez Departamento de Anlisis Matemtico Universidad de Granada TRMINOS SEMEJANTES Ejercicios Resueltos. En las expresiones algebraicas, los trminos semejantes son trminos que contienen las mismas variables elevadas a la misma potencia. resueltos de Termodinmica I J ulin Moreno Mestre Estudiante de Ciencias Fsicas Universidad Complutense de Madrid ALFONSO GONZLEZ IES FERNANDO DE MENA. Utilizando la definicin de logaritmo, hallar el valor de x en cada una de las igualdades siguientes:.